Ученикам 8 класса ВОПРОС
пожалуйста сфоткайте решение из тетради
иначе трудно понять решение
Приложения:

Ответы
Ответ дал:
0
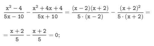
I hope this helps you
Приложения:

Ответ дал:
0
о вы из англии
Ответ дал:
0
нет
Ответ дал:
0
я из Бишкека
Ответ дал:
0
nope...
Ответ дал:
0
Приложения:

Ответ дал:
0
а как ты так написал
Ответ дал:
0
какаята настройка.....
Ответ дал:
0
Редактор LaTex.
Вас заинтересует
2 года назад
2 года назад
3 года назад
9 лет назад