• Предмет: Алгебра
  • Автор: Аноним
  • Вопрос задан 8 лет назад

упростите выражения ПОЖАЛУЙСТА
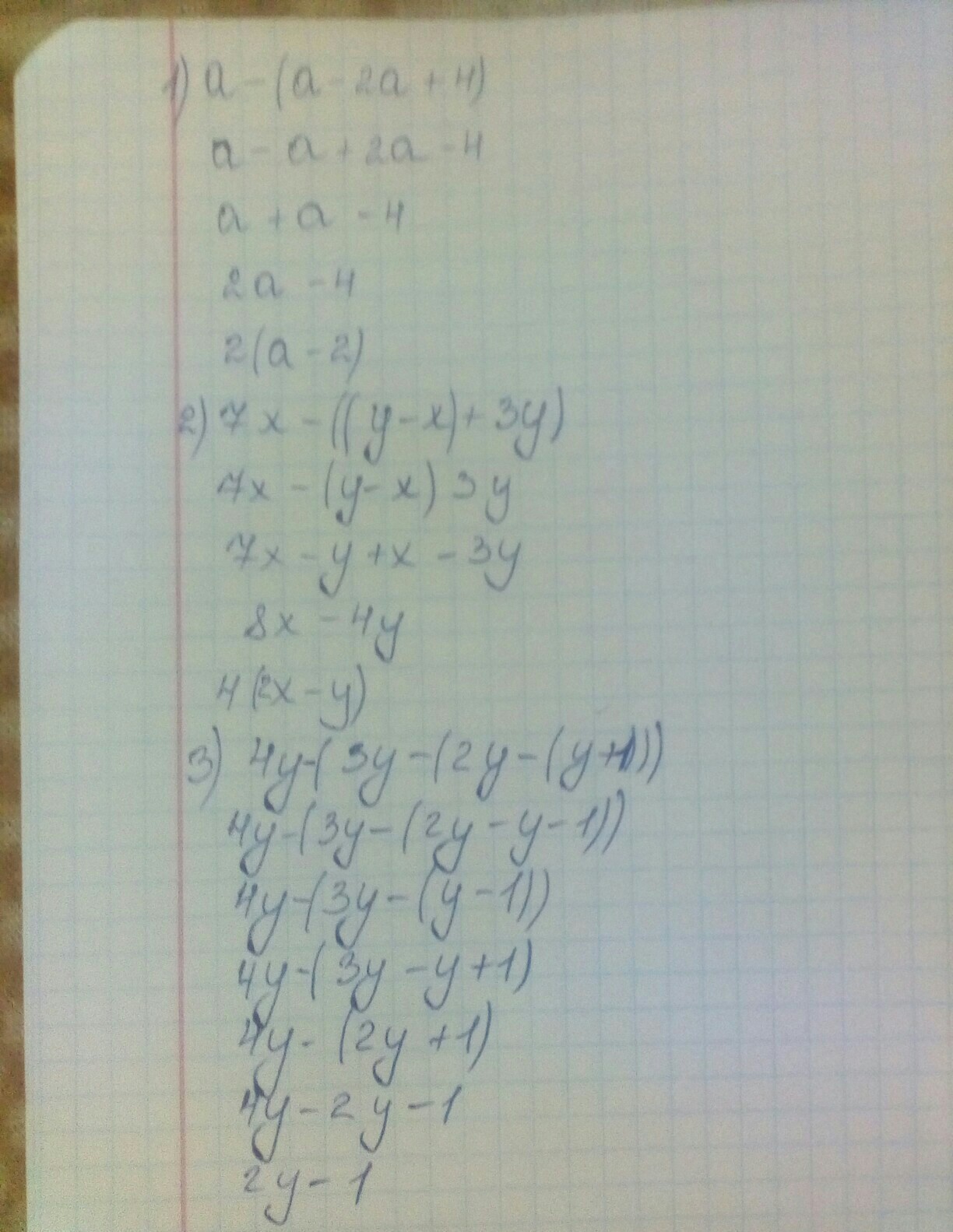
а-(а-2а+4)
7х-((у-х)+3у)
4у-(3у-(2у-(у+)))
5с-(2с-((в-с)-2в))

Ответы

Ответ дал: diiipojarskaya
0
Вот... Как-то так...
Приложения:
Вас заинтересует