Ответы
Ответ дал:
0
а)4x^2+14x-3 больше ровно 0
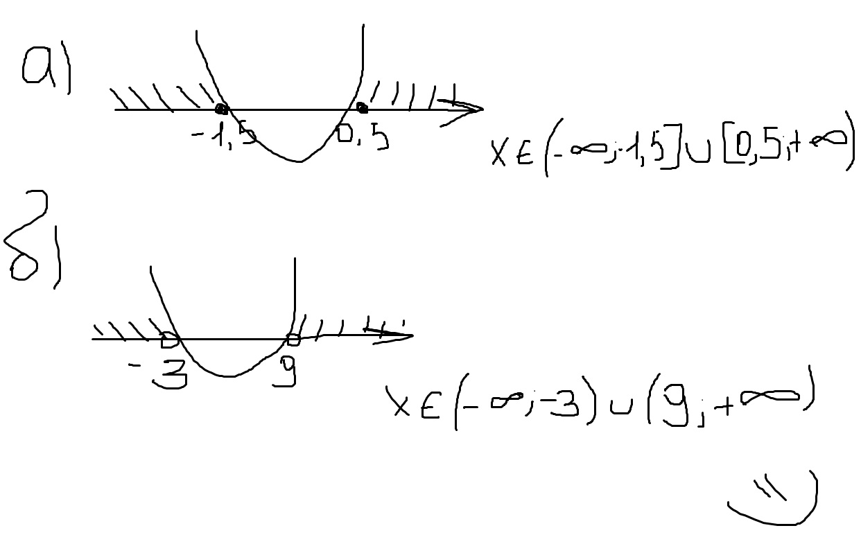
4х^2+4х-3=0
D=16-4*4*(-3)=16+48=64=8^2
x1=-4+8/8=4/8=2/4=0,5;
x2=-4-8/8=-12/8=-1.5. график
Б) - x^2+6x+27 меньше 0 | *(-1)
x^2-6x-27 больше 0;
x^2-6x-27=0
D=36-4*9-27)=36+108=144=12^2
x1=6+12/2=9
x2=6-12/2=-3 график
4х^2+4х-3=0
D=16-4*4*(-3)=16+48=64=8^2
x1=-4+8/8=4/8=2/4=0,5;
x2=-4-8/8=-12/8=-1.5. график
Б) - x^2+6x+27 меньше 0 | *(-1)
x^2-6x-27 больше 0;
x^2-6x-27=0
D=36-4*9-27)=36+108=144=12^2
x1=6+12/2=9
x2=6-12/2=-3 график
Приложения:
Вас заинтересует
3 года назад
3 года назад
8 лет назад
8 лет назад
11 лет назад
11 лет назад
11 лет назад
11 лет назад