• Предмет: Математика
  • Автор: gugulikk1
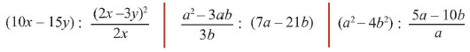
  • Вопрос задан 8 лет назад

Просто разделите, а чай пью занят.

Приложения:

Ответы

Ответ дал: saltony94
0
63836739936839377363
Приложения:
Ответ дал: gugulikk1
0
Благодарю.
Ответ дал: saltony94
0
пожалуйста
Вас заинтересует