Ответы
Ответ дал:
0
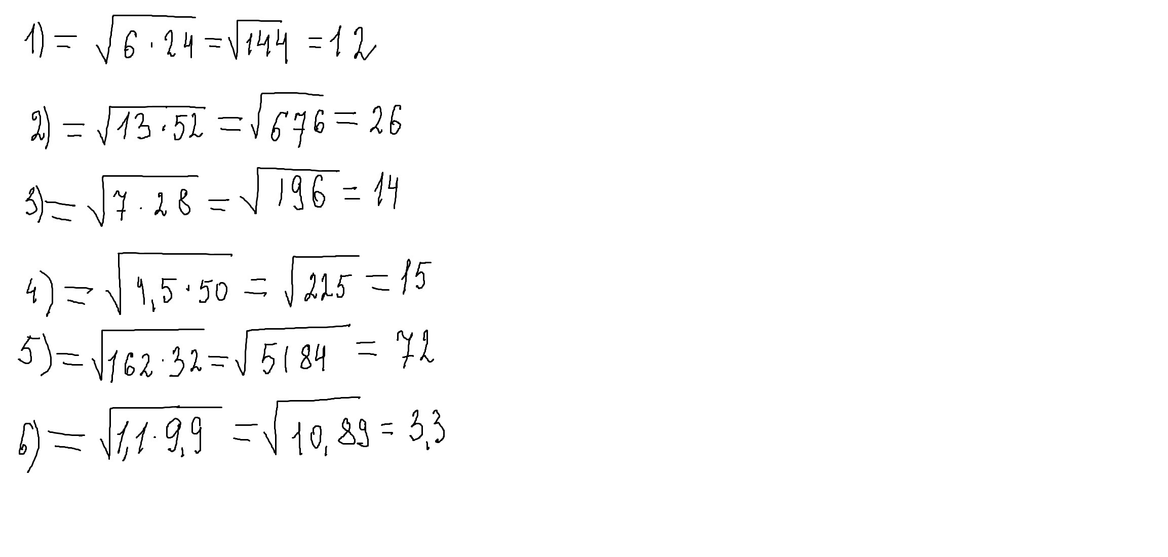
1) √6*√24=√6*24=√6*6*4=√144=12
2) √13*√52=√13*√13*√4=13*2=26
3) √7*√28=√7*√7*√4=7*2=14
4)√4,5*√50=√2*√2,25*√25*√2=2*1,5*5=15
5)√162*√32=√2*√81*√2*√16=2*9*4=72
6)√1,1*√9,9=√11*√0,1*√0,1*√9*√11=11*0,1*3=3,3
2) √13*√52=√13*√13*√4=13*2=26
3) √7*√28=√7*√7*√4=7*2=14
4)√4,5*√50=√2*√2,25*√25*√2=2*1,5*5=15
5)√162*√32=√2*√81*√2*√16=2*9*4=72
6)√1,1*√9,9=√11*√0,1*√0,1*√9*√11=11*0,1*3=3,3
Ответ дал:
0
Саасибо))
Ответ дал:
0
Спасибо*)
Ответ дал:
0
решение внизу.пользуйся таблицей.
Приложения:


Ответ дал:
0
Спасибо)
Вас заинтересует
2 года назад
2 года назад
3 года назад
3 года назад
9 лет назад