Ответы
Ответ дал:
0
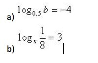
а).


б).


![x = sqrt[3]{ frac{1}{8} } = frac{1}{2} x = sqrt[3]{ frac{1}{8} } = frac{1}{2}](https://tex.z-dn.net/?f=x+%3D+++sqrt%5B3%5D%7B+frac%7B1%7D%7B8%7D+%7D++%3D++frac%7B1%7D%7B2%7D+)
б).
Вас заинтересует
2 года назад
3 года назад
3 года назад
9 лет назад
9 лет назад
10 лет назад
10 лет назад