• Предмет: Алгебра
  • Автор: aleksa0053
  • Вопрос задан 8 лет назад

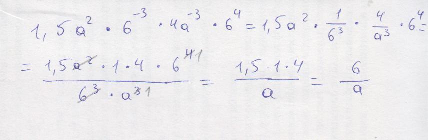
Подскажите как решить 1,5а^2 *6^-3*4а^-3*6^4

Ответы

Ответ дал: ankatorsukova
0

Решить никак нельзя, потому что у тебя указано не уравнение. Можно только упростить. Упрощение во вложенном файле

Приложения:
Ответ дал: aleksa0053
0
Спасибо!!! Да нужно упростить. Вы очень сильно помогли
Ответ дал: ankatorsukova
0
Не за что, обращайтесь))))
Вас заинтересует