Ответы
Ответ дал:
0
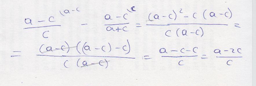
Решение во вложенном файле.
Ответ: а-2с/с
Приложения:

Ответ дал:
0
Возможно, можно сократить.
Приложения:

Вас заинтересует
2 года назад
2 года назад
3 года назад
3 года назад
9 лет назад
9 лет назад
9 лет назад