• Предмет: Математика
  • Автор: matimatika60
  • Вопрос задан 8 лет назад

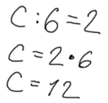
c:6=2 решить уровнение

Ответы

Ответ дал: MarsONxGD
0

с / 6 = 2 c = 2 * 6 c = 12

Приложения:
Вас заинтересует