Ответы
Ответ дал:
0
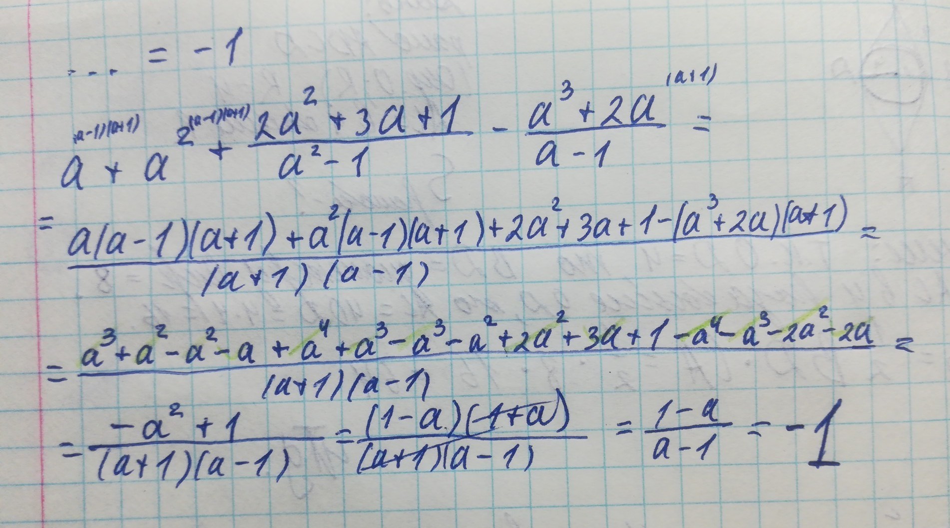
Что бы знаменательный и числитель в конце сократились надо умножить на минус еденицу, поэтому при Сокращении мы получаем - 1
Приложения:

Вас заинтересует
2 года назад
3 года назад
3 года назад
9 лет назад
9 лет назад
9 лет назад