• Предмет: Математика
  • Автор: ma6a1994p728ka
  • Вопрос задан 8 лет назад

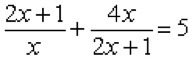
решите, пожалуйста, уравнение с заменой

Приложения:

Ответы

Ответ дал: Eleison
0

Часть 1 - https://pp.userapi.com/c847016/v847016137/f4ddd/gl9WbHjiN9g.jpg

Часть 2 - https://pp.userapi.com/c844520/v844520137/fa621/VU6HNWP7F84.jpg

Вас заинтересует