Ответы
Ответ дал:
0
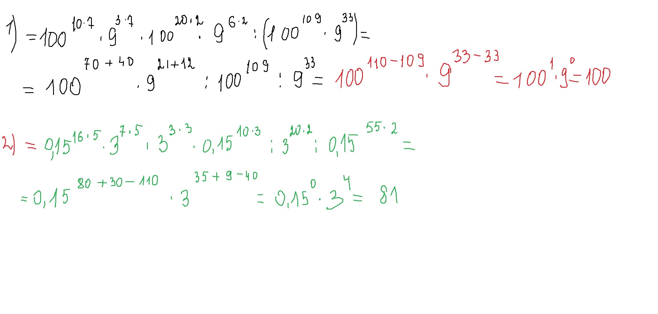
при решении применяем те же св-ва,о которых я писала в предыдущем решении.решение внизу
Приложения:

Вас заинтересует
2 года назад
2 года назад
3 года назад
3 года назад
9 лет назад
9 лет назад
9 лет назад