Ответы
Ответ дал:
0
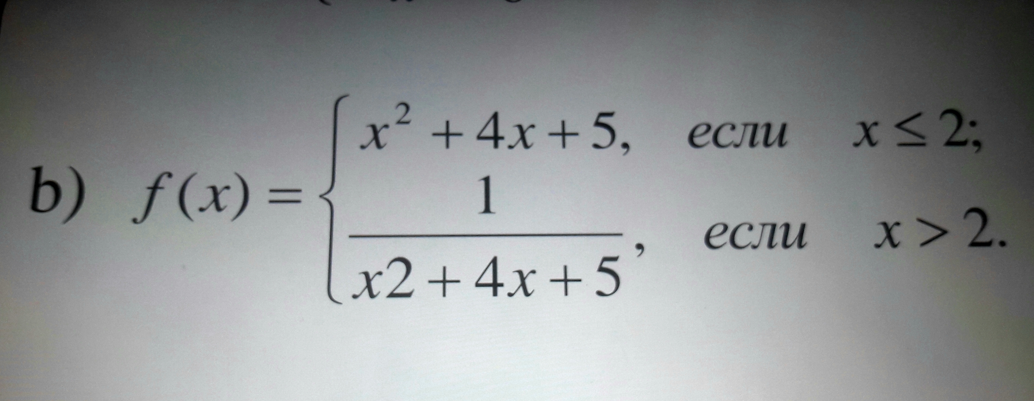
var
x:real;
begin
readln(x);
if x <= 2 then
writeln('F(x) = ', (x*x + 4*x + 5):5:2)
else writeln('F(x) = ', (1 / (x*x + 4*x + 5)):5:2);
end.
Приложения:

Ответ дал:
0
Я посчитал, что у вас во втором задании в знаменателе x^2. Если я ошибся, сообщите мне
Ответ дал:
0
Спасибо
Вас заинтересует
2 года назад
2 года назад
3 года назад
3 года назад
9 лет назад
9 лет назад
9 лет назад