• Предмет: Алгебра
  • Автор: pltret
  • Вопрос задан 8 лет назад

Упростите дробь пожалуйста

Приложения:

Ответы

Ответ дал: valeria5535
0
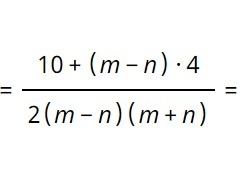
Понятно? Ответ большой
Приложения:
Вас заинтересует