• Предмет: Алгебра
  • Автор: yurakuvhinov2005
  • Вопрос задан 8 лет назад

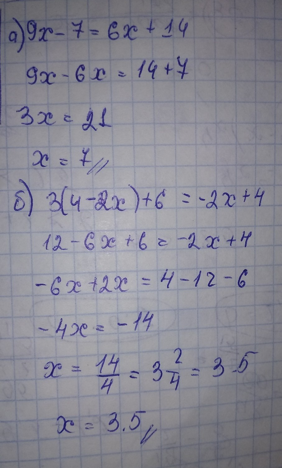
знайдіть корiнь рівняння 9x -7 = 6x + 14
3(4 - 2x) + 6 = -2x + 4

Ответы

Ответ дал: starcevd56
0
1)9x-7=6x+14
9x-6x=14+7
3x=21
x=21/3
x=7

2)3(4-2x)+6=-2x+4
12-6x+6=-2x+4
18-6x=-2x+4
-6x+2x=4-18
-4x=-14
x=7/2
Ответ дал: Камилла272003
0
Вот.................
Приложения:
Ответ дал: yurakuvhinov2005
0
Спасибо)
Ответ дал: Камилла272003
0
не за что
Вас заинтересует