• Предмет: Алгебра
  • Автор: katya3e2
  • Вопрос задан 11 лет назад

Помогите пожалуйстаааааа! Очень прошу! Очень срочно надо...
Отблагодарю! Заранее спасибо!

Приложения:

Ответы

Ответ дал: NNNLLL54
0
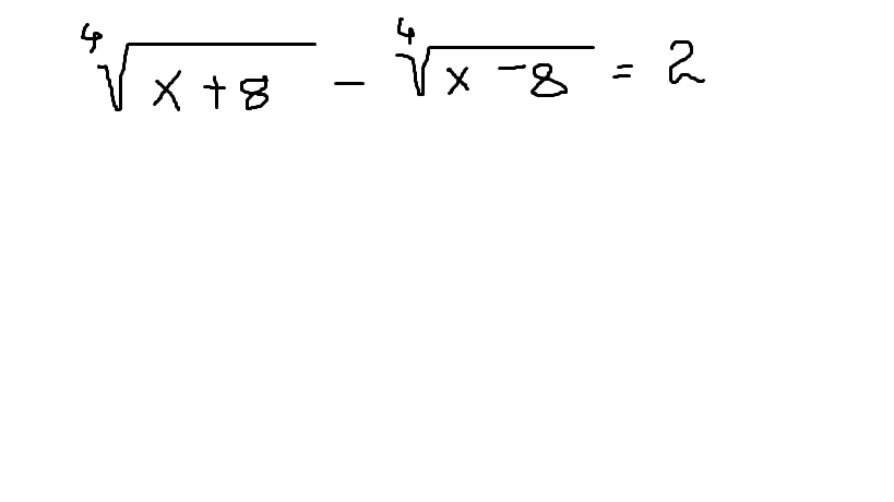
sqrt[4]{x+8}-sqrt[4]{x-8}=2\ODZ:;; left { {{x+8 geq 0} atop {x-8 geq 0}} right. ;;to x geq 8
Если вместо х подставить 8, то получим верное равенство:
 sqrt[4]{16}=2,; sqrt[4]{2^4}=2; ,; 2=2
Ответ: х=8
Вас заинтересует