• Предмет: Алгебра
  • Автор: Данич145
  • Вопрос задан 8 лет назад

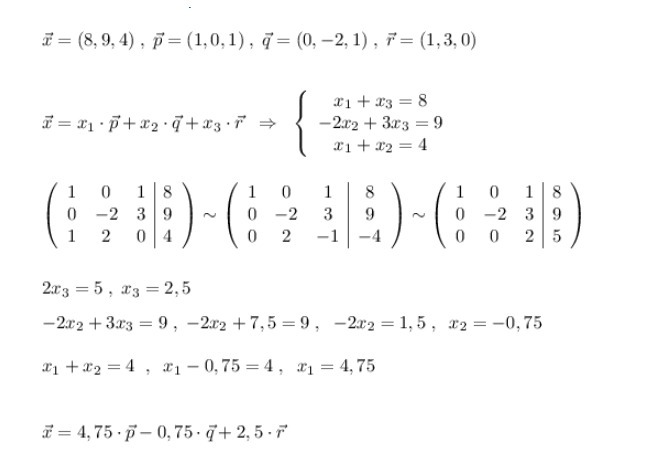
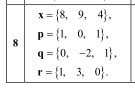
Написать разложение вектора x по векторам p, q, r

Приложения:

Ответы

Ответ дал: NNNLLL54
0

vec{x}=left(begin{array}{c}1\0\1end{array}right)cdot x_1+left(begin{array}{c}0\-2\1end{array}right)cdot x_2+left(begin{array}{c}1\3\0end{array}right)cdot x_3

Приложения:
Вас заинтересует