• Предмет: Алгебра
  • Автор: Данич145
  • Вопрос задан 8 лет назад

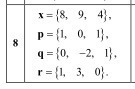
Написать разложение вектора x по векторам p, q, r

Приложения:

Ответы

Ответ дал: NNNLLL54
0

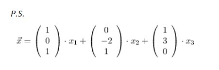
vec{x}=(8,9,4); ,; vec{p}=(1,0,1); ,; vec{q}=(0,-2,1); ,; vec{r}=(1,3,0)\\\vec{x}=x_1cdot vec{p}+x_2cdot vec{q}+x_3cdot vec{r}; ; Rightarrow ; ; left{begin{array}{ccc}x_1+x_3=8\-2x_2+3x_3=9\x_1+x_2=4end{array}right\\\ left(begin{array}{ccc|c}1&0&1&8\0&-2&3&9\1&2&0&4end{array}right)sim left(begin{array}{ccc|c}1&0&1&8\0&-2&3&9\0&2&-1&-4end{array}right)sim left(begin{array}{ccc|c}1&0&1&8\0&-2&3&9\0&0&2&5end{array}right)\\\2x_3=5; ,; x_3=2,5

-2x_2+3x_3=9; ,; -2x_2+7,5=9; ,; ; -2x_2=1,5; ,; ; x_2=-0,75\\x_1+x_2=4; ; ,; ; x_1-0,75=4; ,; ; x_1=4,75\\\vec{x}=4,75cdot vec{p}-0,75cdot vec{q}+2,5cdot vec{r}

Приложения:
Вас заинтересует