Ответы
Ответ дал:
0
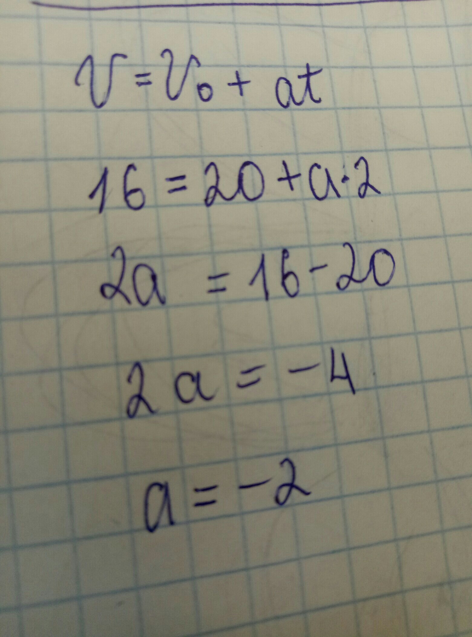
ускорение идет в противоположную сторону, так как оно меньше нуля
Приложения:

Вас заинтересует
2 года назад
3 года назад
9 лет назад
9 лет назад