• Предмет: Математика
  • Автор: maistrukarsen2020
  • Вопрос задан 8 лет назад

Привет! Помоги решить желательно подробно. Это 10 класс действительные числа.

Приложения:

Ответы

Ответ дал: Dedagenn
0

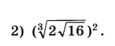
=4

последовательно: √4²=4, ³✓2³=2, 2²=4

Ответ дал: Dedagenn
0
последоаательно: √4², ³✓2³, 2²=4
Вас заинтересует