• Предмет: Алгебра
  • Автор: elenka9797
  • Вопрос задан 11 лет назад

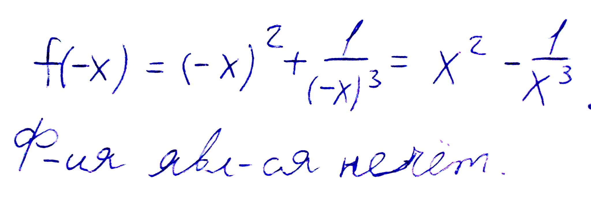
докажите что функция f(x) = x^2+1/x^3 является нечетной

Ответы

Ответ дал: kris4tina
0
точно не помню, но вроде бы так.
Приложения:
Вас заинтересует