• Предмет: Математика
  • Автор: HELPER415
  • Вопрос задан 8 лет назад

Помогите 1.13 Пожалуйстаааа, срочно надо

Приложения:

Ответы

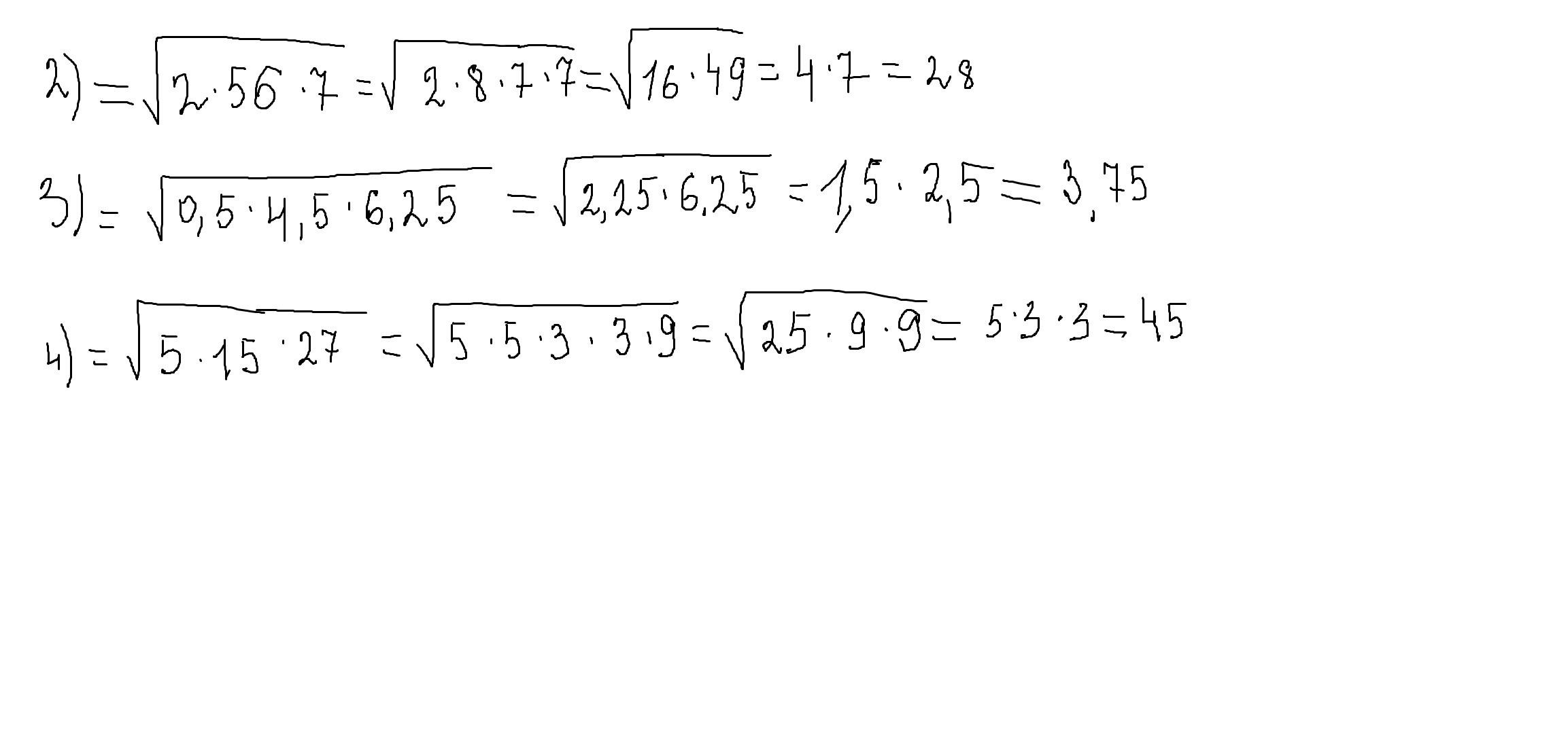
Ответ дал: parus77
0

смотри решение внизу

Приложения:
Ответ дал: HELPER415
0
Спасибо большое)
Вас заинтересует