дано
R1=100 ом
R2=R3=150 ом
Е1=75 в
Е2=100 в
найти
I1, I2, I3-?
электротехника, 2 закон кирхгофа
Приложения:

Ответы
Ответ дал:
0
Иди отсюда, неуч, какая физика?
На блеадь, неуч.
Решение:
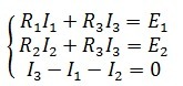
I3-I1-I2=0
R1I1+R3I3=E1
R2I2+R2I3=E2
Чи да? Чи или не Чи блеать? Или Чи или не Чи? Или Чи?
Приложения:


Ответ дал:
0
На блеадь, неуч. Решение: I3-I1-I2=0
Ответ дал:
0
R1I1+R3I3=E1
Ответ дал:
0
R2I2+R2I3=E2
Вас заинтересует
2 года назад
2 года назад
3 года назад
9 лет назад
9 лет назад
9 лет назад