• Предмет: Алгебра
  • Автор: kik678
  • Вопрос задан 8 лет назад

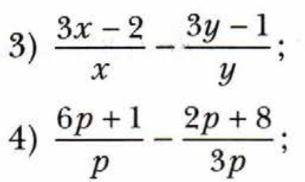
плиз срочно надо решите

Приложения:

Ответы

Ответ дал: sangers
0

3) =(y*(3x-2)-x*(3y-1))/(xy)=(3xy-2y-3xy+x)/(xy)=(x-2y)/(xy).

4) =(3*(6p+1)-(2p+8))/(3p)=(18p+3-2p-8)/(3p)=(16p-5)/(3p).

Вас заинтересует