• Предмет: Математика
  • Автор: Sultan345
  • Вопрос задан 8 лет назад

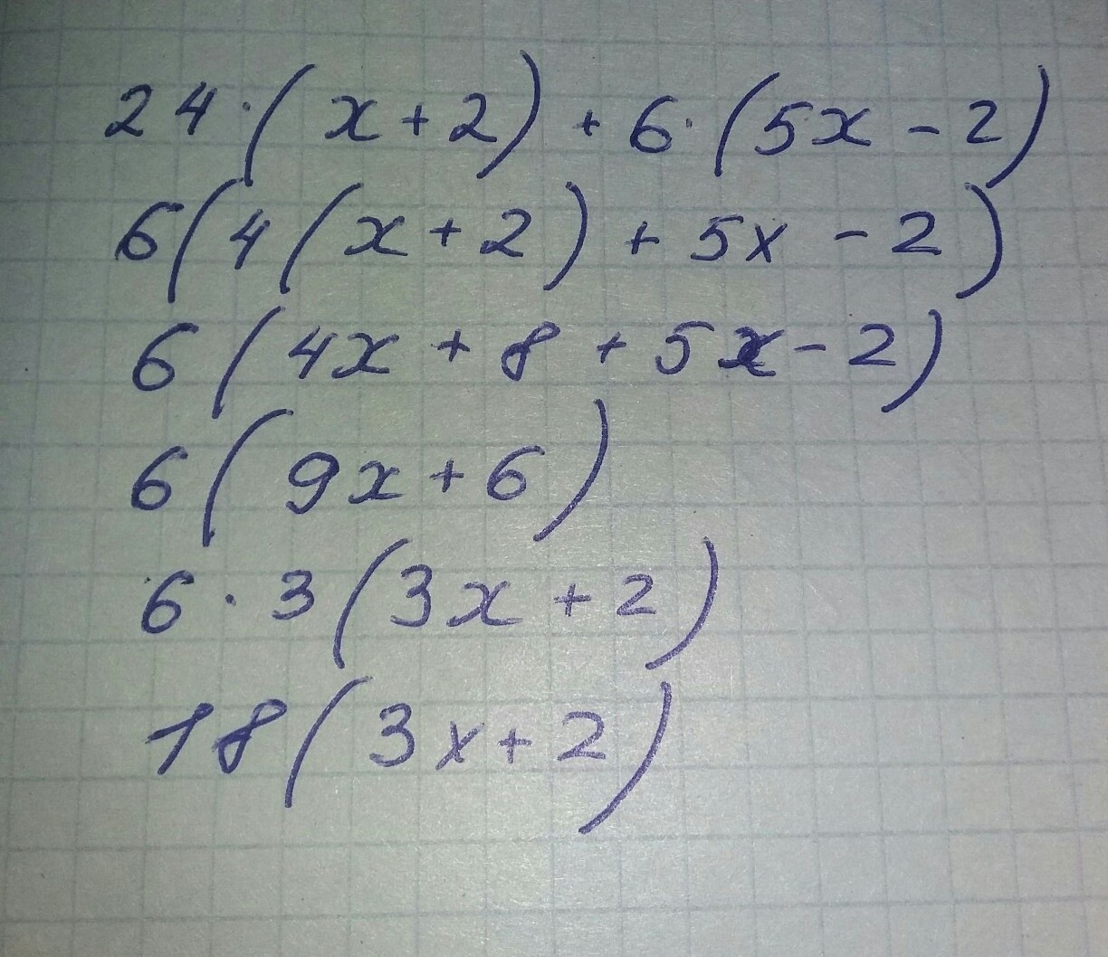
Найдите значение выражения 24*(x+2) +6*(5x-2)

Ответы

Ответ дал: сабинаааа
0
............................
Приложения:
Ответ дал: AksiniaMin
0
24*(x+2)+6*(5x-2)=24x+48+30x-12=54x+36
Приложения:
Ответ дал: 0ldush
0
Надо решить, а не упростить
Вас заинтересует