• Предмет: Алгебра
  • Автор: fany1028
  • Вопрос задан 8 лет назад

отдаю все свои балы !!! нужно до 14:10!! можно без обяснений просто решение
(/ - риска дроби )

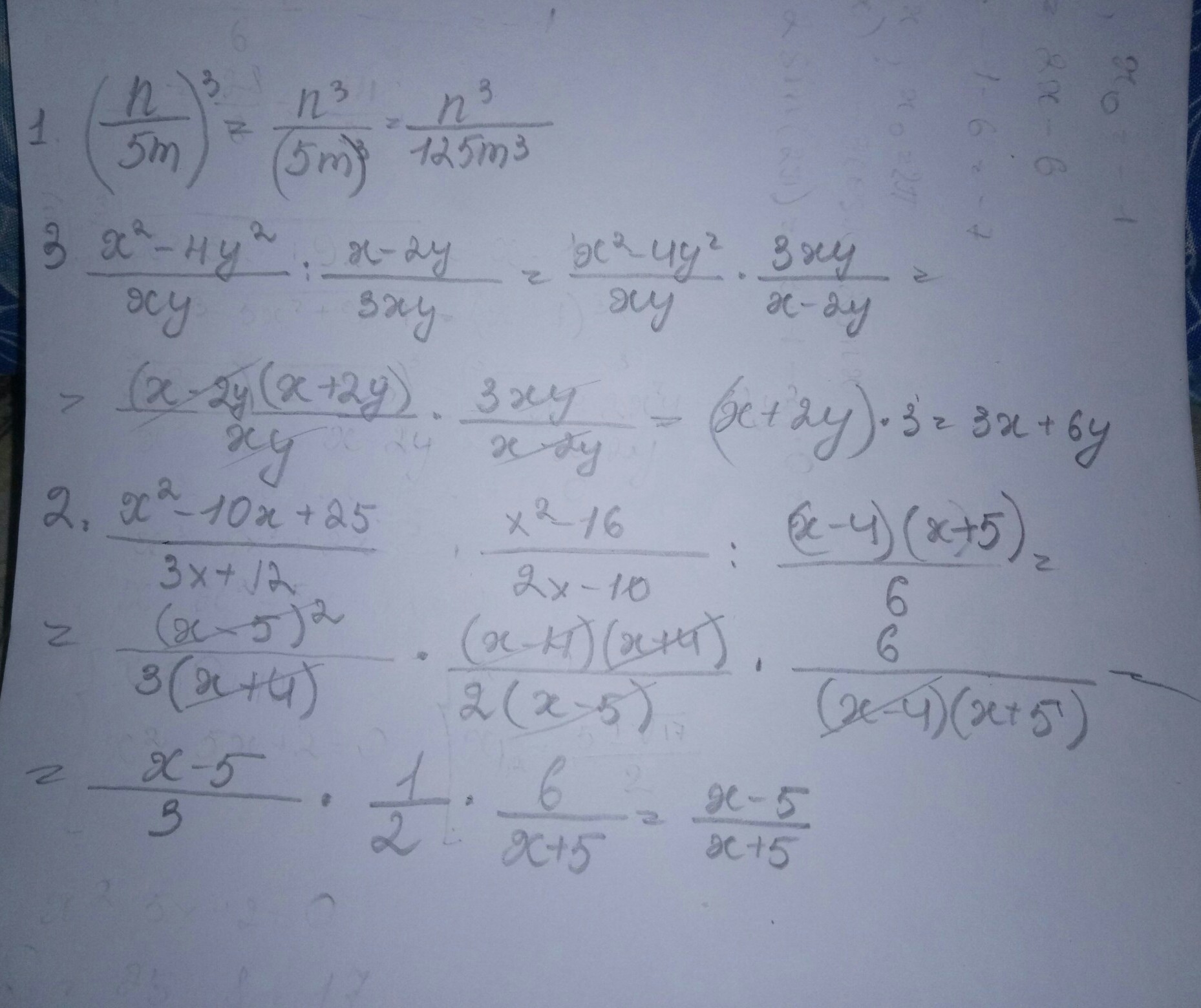
1.поднесите к степени


(n/5m)^3



2.упростите выражение



x^2-10x+25     x^2-16    (x-4)(x+5)
---------------- * ---------- : -------------
3x+12              2x-10             6


3.упростите выражение


x^2-4y^2     x-2y
------------- : -------
  xy                3xy

Ответы

Ответ дал: moon1331
0
......................
Приложения:
Ответ дал: fany1028
0
во втором будет один ?
Ответ дал: fany1028
0
окончательний ответ?
Вас заинтересует