• Предмет: Математика
  • Автор: nastyahristoforova
  • Вопрос задан 8 лет назад

56 задание весь решите пропорцию

Приложения:

Ответы

Ответ дал: masha448A
0
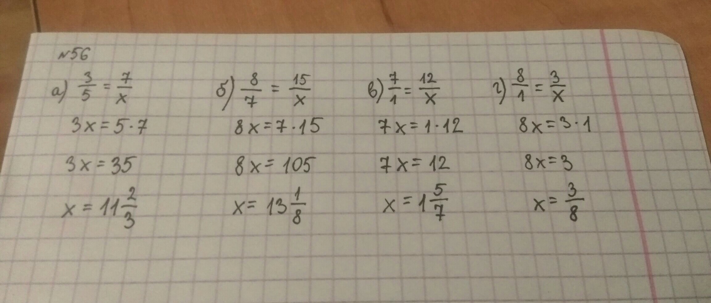
решение на фото)

прости, пожалуйста, у меня приложение лагало
удачи;)
Приложения:
Ответ дал: nastyahristoforova
0
Что решение на фотке . Там нету не чего.
Ответ дал: masha448A
0
я не знаю что это, сейчас перефотаю
Ответ дал: masha448A
0
все
Ответ дал: 0ldush
0

а)3/5=7/x       б)8/7=15/x         в)7/1=12/x            г)8/1=3/x

3x=35             8x=105             7x=12                     8x=3

x=11 2/3           x=13 1/8            x=1 5/7                  x=3/8

Приложения:
Вас заинтересует