Ответы
Ответ дал:
0
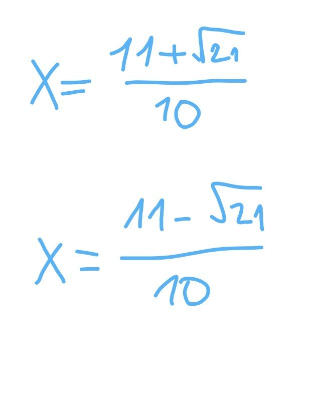
Как я поняла, то это квадратное уравнение.
А=5
Б=-11
С=5
Д=121-4*5*5=121-100=21
X= 11+/- корень из 21 и всё это деленное на 10
А=5
Б=-11
С=5
Д=121-4*5*5=121-100=21
X= 11+/- корень из 21 и всё это деленное на 10
Приложения:
Вас заинтересует
2 года назад
2 года назад
3 года назад
3 года назад
9 лет назад
9 лет назад
10 лет назад