• Предмет: Алгебра
  • Автор: MargoRitkaNotOnline
  • Вопрос задан 8 лет назад

СРОЧНО, ПРОШУ, ПОМОГИТЕ!

Приложения:

Ответы

Ответ дал: Miroslava227
0
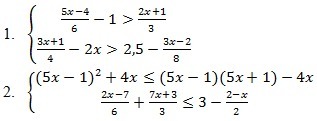
решение на фотографии
Приложения:
Вас заинтересует