• Предмет: Математика
  • Автор: DanilSoldatkin
  • Вопрос задан 8 лет назад

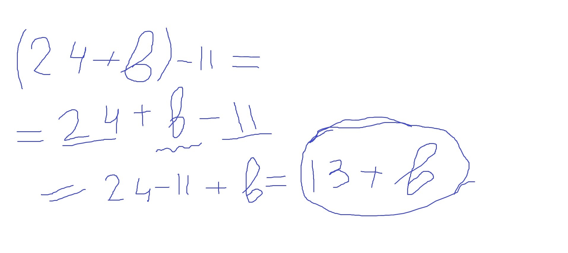
Раскрой скобки и упрости выражение
(24+b)−11

Ответы

Ответ дал: demidovdanila
0

На рисунке все решено

Приложения:
Вас заинтересует