• Предмет: Математика
  • Автор: Katrapaw
  • Вопрос задан 8 лет назад

обьясните пожалуйста, как это делается)))

Приложения:

Ответы

Ответ дал: skrylnikov35
0
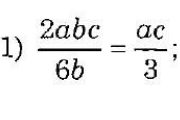
находим одинаковые буквы в числителе и знаменателе и сокращаем их, а потом уже сокращаем цифры
в данном случае 6 разделили на 2
Ответ дал: Katrapaw
0
всё равно ничего не поняла, но спасибо))
Вас заинтересует