• Предмет: Алгебра
  • Автор: shblkv
  • Вопрос задан 8 лет назад

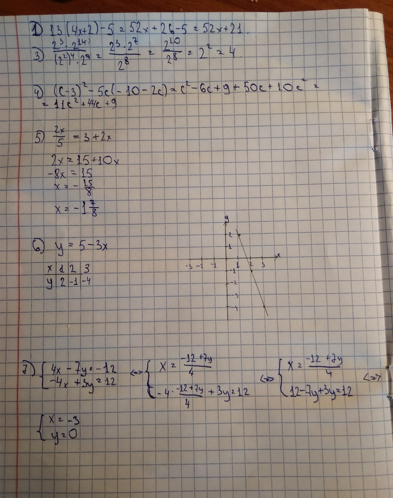
с 3-7 и 1,решите пожалуйста...

Приложения:

Ответы

Ответ дал: tdiankakott
0
Извини с графиком не дружу, надеюсь помогла.
Приложения:
Ответ дал: shblkv
0
спасибо большое
Ответ дал: Дейлионна
0
Ответ смотри на фото
Приложения:
Вас заинтересует