• Предмет: Математика
  • Автор: frayzishow
  • Вопрос задан 8 лет назад

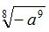
Вынеси множитель из-под знака корня в выражении

Приложения:

Ответы

Ответ дал: danilasivashov
0

Ответ:(-а⁹)в степени одна восьмая

Ответ дал: frayzishow
0
не подходит
Ответ дал: frayzishow
0
это решение через свойство
Ответ дал: frayzishow
0
а мне надо вынести множитель
Вас заинтересует