• Предмет: Математика
  • Автор: Maximgv3
  • Вопрос задан 8 лет назад

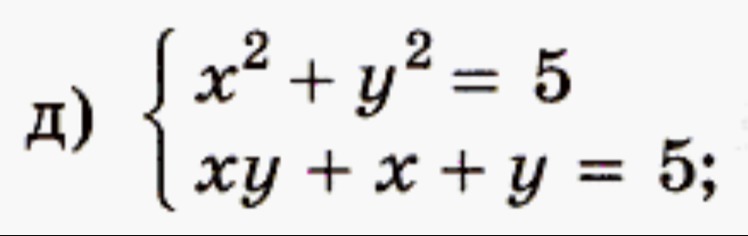
Решить систему уравнений

Приложения:

Ответы

Ответ дал: iosiffinikov
0

обозначим х+у=а

Тогда ху=5-а

а*а=5+2*(5-а)

а*а+2а+1=16

а+1=4  или а+1=-4

а=3 или а=-5

если   х+у=3

то ху=2

(х-у)*(х-у)=1

х-у=1 или х-у=-1  х=2 или х=1 у=1 или у=2

если х+у=-5 то ху=10

(х-у)*(х-у)=-15, что невозможно.

Ответ: х=2 у=1

  или     х=1  у=2

Вас заинтересует