• Предмет: Геометрия
  • Автор: LOLOLOSHKA939
  • Вопрос задан 8 лет назад

СРОЧНО!!!!!!!! 15 БАЛЛОВ!!!!!!!!!!!!!

Приложения:

Ответы

Ответ дал: Str1kerFeed
0

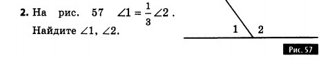
1+2=180 градусов

180=х+х/3,

180=4х/3,

540=4х,

х=135.

Угол 2=135, Угол 1=135/3=45. Ответ: 45, 135


Ответ дал: LOLOLOSHKA939
0
Спасибо огромное)))))))))
Ответ дал: militskaianina1997
0

Решение

угол развернутый, значит

угол 1      1/3 * 180=60

угол 2     180-60=120

Ответ дал: Str1kerFeed
0
Не правильно, держу в курсе. 180 градусов - это сумма этих двух углов, т.к. он развернутый. одна третья часть берется от неизвестного угла. Просмотри мое решение, и поймешь суть
Ответ дал: LOLOLOSHKA939
0
тоже спасибо
Вас заинтересует