• Предмет: Алгебра
  • Автор: Аноним
  • Вопрос задан 8 лет назад

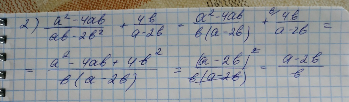
Помогите решить! пожалуйста номер 2 и 3 эт вроде по теме сложение и вычитание рациональных дробей с разными знаменателями!

Приложения:

Ответы

Ответ дал: Polinka000000
0
...................................
Приложения:
Вас заинтересует