Ответы
Ответ дал:
0
Решение ответа:
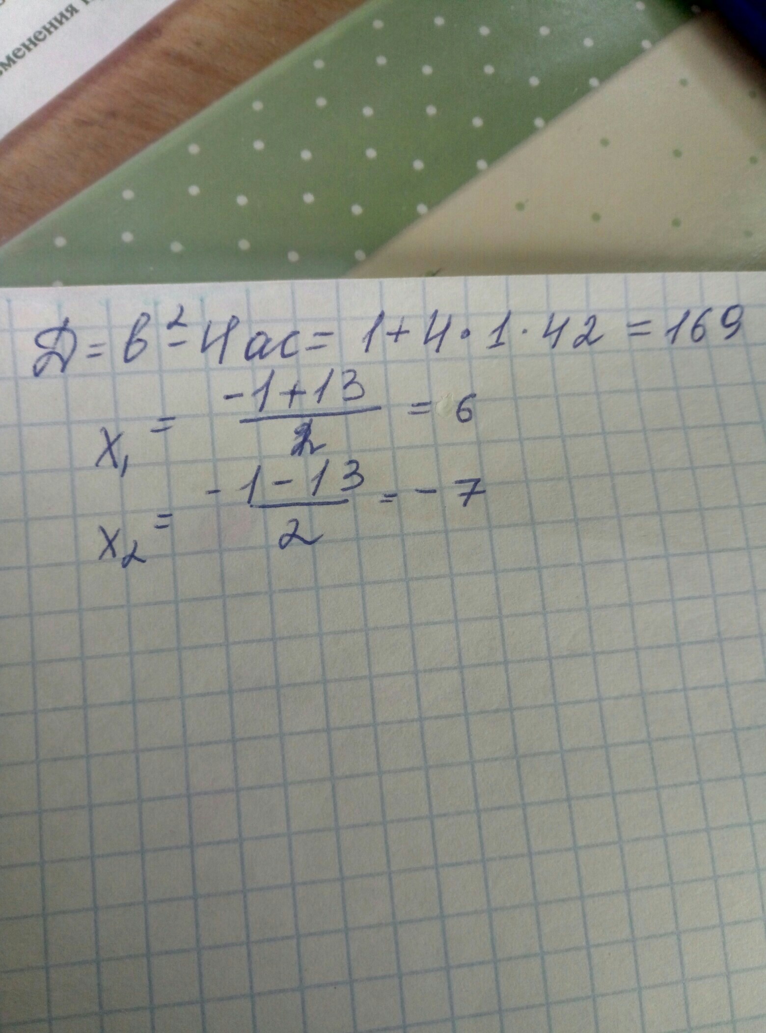
X1=-7
X2=6
Ответ дал:
0
я знаю что такой ответ, мне сам процесс решения нужен
Ответ дал:
0
x2+7x-6x-42=0
Ответ дал:
0
есть приложение photo math
Ответ дал:
0
все решит
Ответ дал:
0
Пользуйся, не благодари
Приложения:

Вас заинтересует
2 года назад
3 года назад
9 лет назад
9 лет назад