• Предмет: Химия
  • Автор: danilkolisnich
  • Вопрос задан 8 лет назад

ПОМОГИТЕ ПОЖАЛУЙСТА ОЧЕНЬ СРОЧНО НУЖНО!!! заранее спасибо

Приложения:

Ответы

Ответ дал: LemiLumi
0

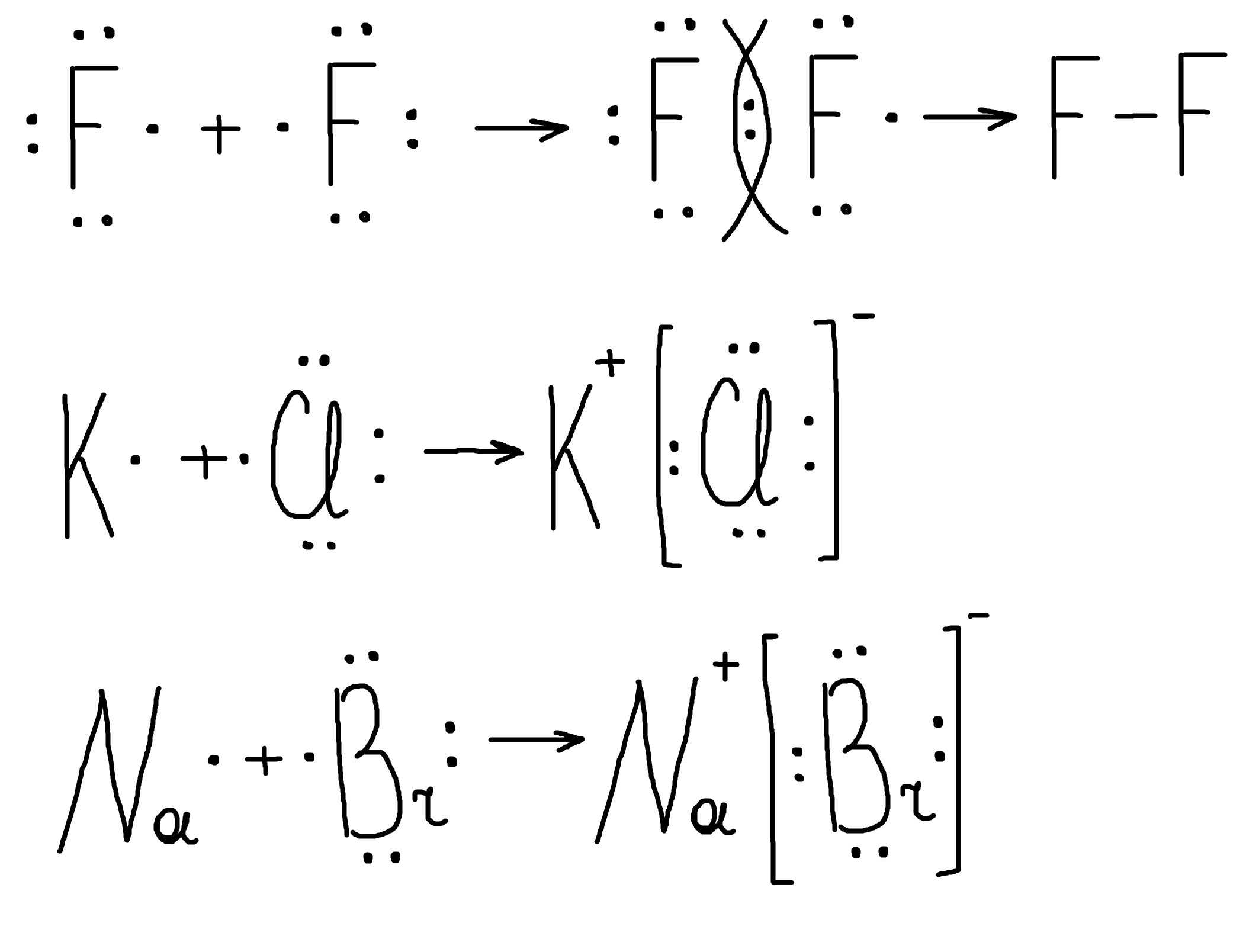
1. F₂ - ковалентная неполярная

KCl - ионная

NaBr - ионная

CaF₂ - ионная

H₂S - ковалентная полярная

CH₄ - ковалентная полярная

Na₂S - ионная

2. на фото

Приложения:
Вас заинтересует