• Предмет: Математика
  • Автор: loading100procev
  • Вопрос задан 8 лет назад

Пожалуйста,помогите решить:
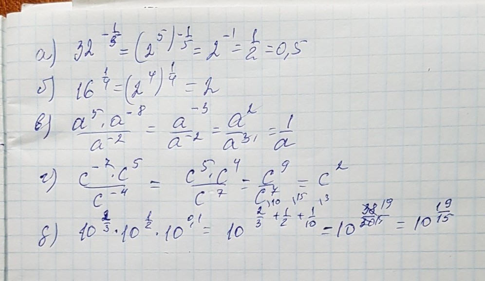
А)32^-1/5=
Б)16^1/4=
В)a^5*a^-8/a^-2=
Г)c^-7*c^5/c^-4=
Д) 10^2/3 *10^1/2*10^0,1=

Ответы

Ответ дал: 1233090
0
решение задания смотри на фотографии
Приложения:
Ответ дал: loading100procev
0
Спасибо большое
Ответ дал: 1233090
0
пожалуйста
Вас заинтересует