• Предмет: Математика
  • Автор: Hadoca
  • Вопрос задан 8 лет назад

Срочно!!! Помогите пожалуйста. Даю 15 баллов

Приложения:

Ответы

Ответ дал: lollypop007
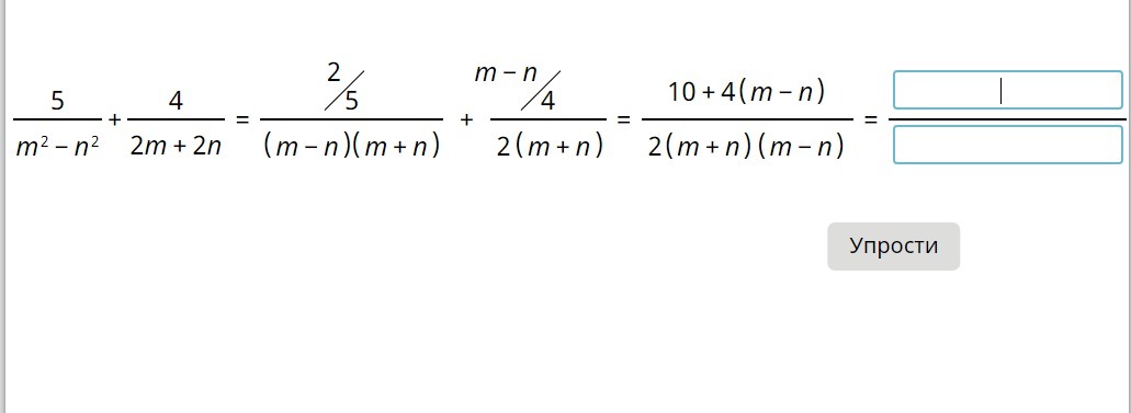
0

7/ (m+n)

сокращаешь числитель и знаменатель на m-n,  далее в числителе 10+4*1 = 14, в знаменателе 2(m+n) , делишь на 2 обе части

Ответ дал: Hadoca
0
Неправильно(((
Вас заинтересует