• Предмет: Математика
  • Автор: abil149
  • Вопрос задан 8 лет назад

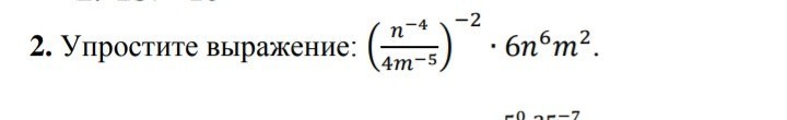
Помогмте решить ребята!ПОЖАЛУЙСТА ОТМЕТЮ ЛУЧШИМ!!!

Приложения:

Ответы

Ответ дал: боб72
0
кажется ответ такой получится
Приложения:
Вас заинтересует