Ответы
Ответ дал:
0
нужно было раскрыть скобки и привести подобные слагаемые
Приложения:
Ответ дал:
0
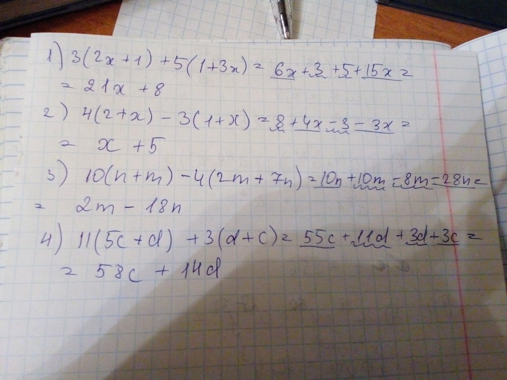
1) 3(2x + 1) + 5(1 + 3x)
6x + 3 + 5 + 15x
21x + 8
2) 4(2 + x) - 3(1 + x)
8 + 4x - 3 - 3x
x + 5
3) 10(n + m) - 4(2m + 7n)
10n + 10m - 8m - 28n
- 18n + 2m
4) 11(5c + d) + 3(d + c)
55c + 11d + 3d + 3c
58c + 14d
6x + 3 + 5 + 15x
21x + 8
2) 4(2 + x) - 3(1 + x)
8 + 4x - 3 - 3x
x + 5
3) 10(n + m) - 4(2m + 7n)
10n + 10m - 8m - 28n
- 18n + 2m
4) 11(5c + d) + 3(d + c)
55c + 11d + 3d + 3c
58c + 14d
Приложения:
Вас заинтересует
2 года назад
3 года назад
3 года назад
9 лет назад
10 лет назад