Ответы
Ответ дал:
0
Вот, надеюсь, что правильно)))
Приложения:

Ответ дал:
0
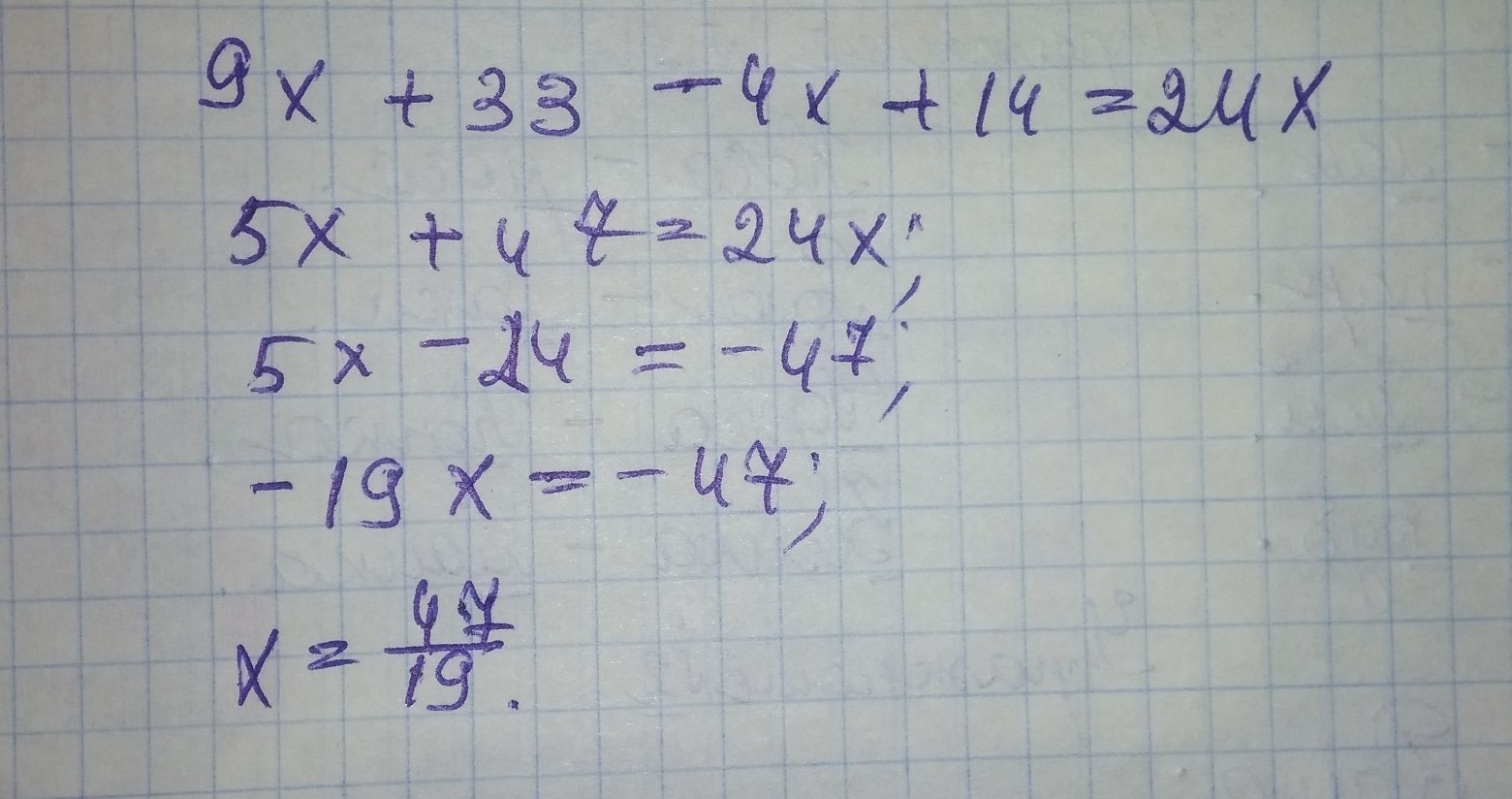
9x+33-4x+14=24x
5x+47=24x
5x-24x=-47
-19x=-47
x=47 делённое на 19
Пожалуйста
Приложения:

Вас заинтересует
3 года назад
9 лет назад
9 лет назад
9 лет назад