помогите срочно
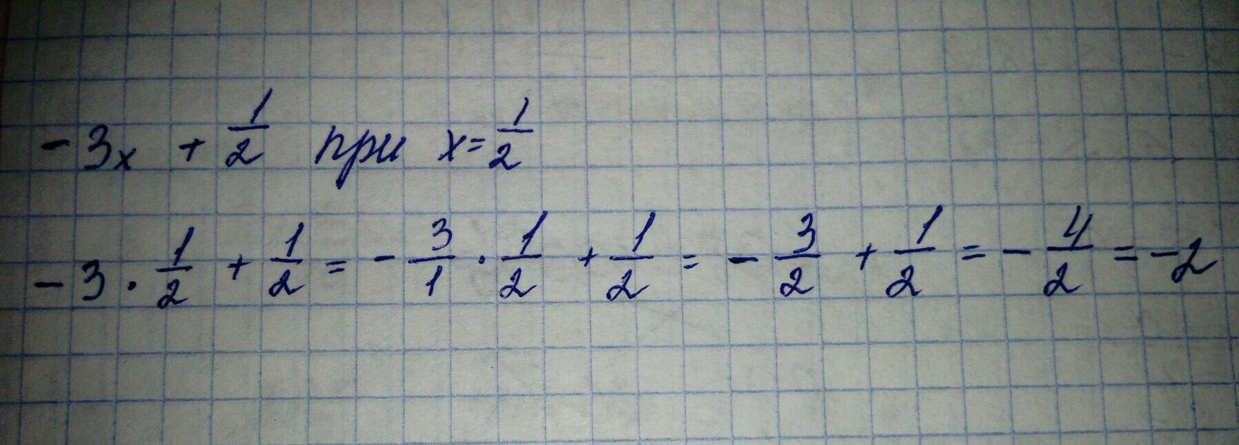
найдите значение выражения -3x + одна вторая при x = одна вторая.
с решением пожалуйста
Ответы
Ответ дал:
0
х заменяем на одну вторую и считаем. Сперва делаем умножение, получается минус три вторых. После находим сумму выражения минус три вторых и одна вторая, получается минус четыре вторых. Далее делим и получается минус два
Приложения:

Вас заинтересует
2 года назад
2 года назад
3 года назад
3 года назад
9 лет назад
9 лет назад