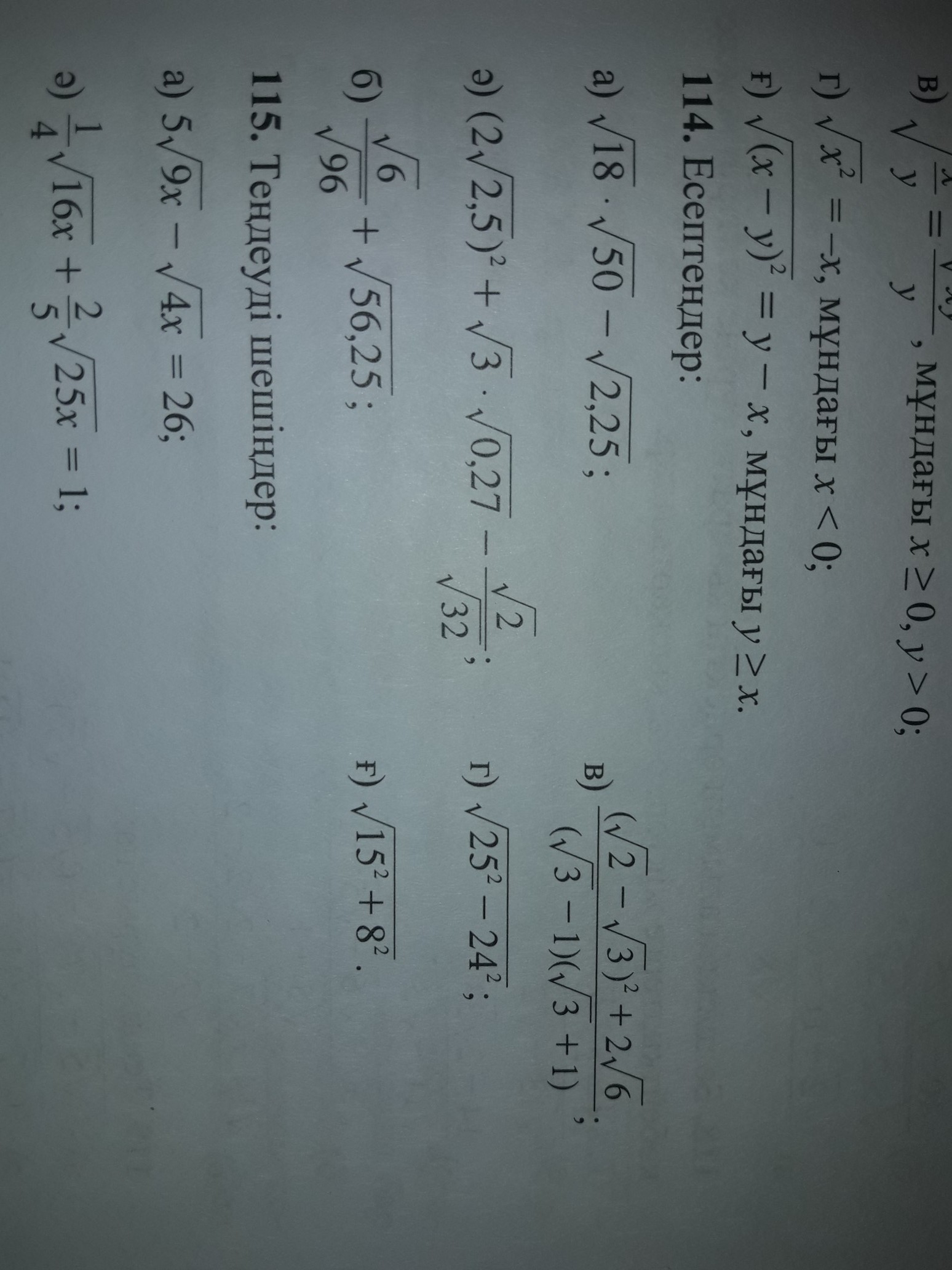
Ответы
Ответ дал:
0
..............................
Приложения:

Вас заинтересует
2 года назад
2 года назад
9 лет назад
9 лет назад
9 лет назад