Ответы
Ответ дал:
0
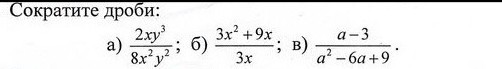
а)2ху^3/8х^2у^2=2ху/8х^2=ху/4х^2=у/4х
б)3х^2+9х/3х=3х*(х+3)/3х=х+3
(3х и 3х сокращается и получается х+3)
в)а-3/а^2-6а+9=а-3/(а-3)^2=1/а-3
(а-3 и а-3^2 сокращается и получается 1/а-3)
б)3х^2+9х/3х=3х*(х+3)/3х=х+3
(3х и 3х сокращается и получается х+3)
в)а-3/а^2-6а+9=а-3/(а-3)^2=1/а-3
(а-3 и а-3^2 сокращается и получается 1/а-3)
Вас заинтересует
2 года назад
3 года назад
3 года назад
9 лет назад
9 лет назад
10 лет назад
10 лет назад