• Предмет: Алгебра
  • Автор: khabibulina02
  • Вопрос задан 8 лет назад

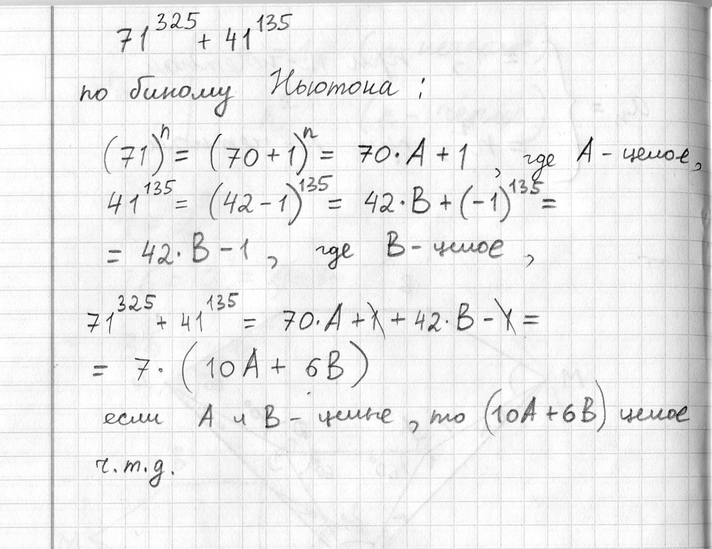
Док-ать,что число 71^325+41^135 делится на 7

Ответы

Ответ дал: Аноним
0

я написал краткое решение на листочке ===>>

Приложения:
Вас заинтересует