Ответы
Ответ дал:
0
1.
4а+3(а-1)
_______
а*(а-1)
4а+3а-3
_______
а2(2 - это в квадрате) -а
7а-3
_______
а2-а
2.
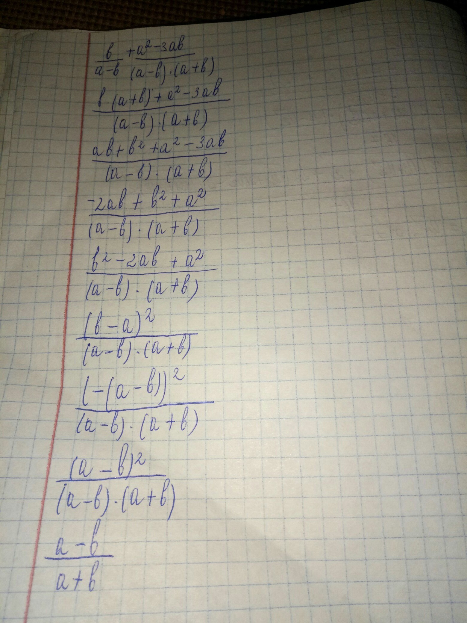
На фото
4а+3(а-1)
_______
а*(а-1)
4а+3а-3
_______
а2(2 - это в квадрате) -а
7а-3
_______
а2-а
2.
На фото
Приложения:

Вас заинтересует
2 года назад
2 года назад
3 года назад
9 лет назад
9 лет назад
9 лет назад