• Предмет: Алгебра
  • Автор: poli474847
  • Вопрос задан 8 лет назад

вычислите значение числового выражения пожалуйста

Приложения:

Ответы

Ответ дал: Evgenia4836
0

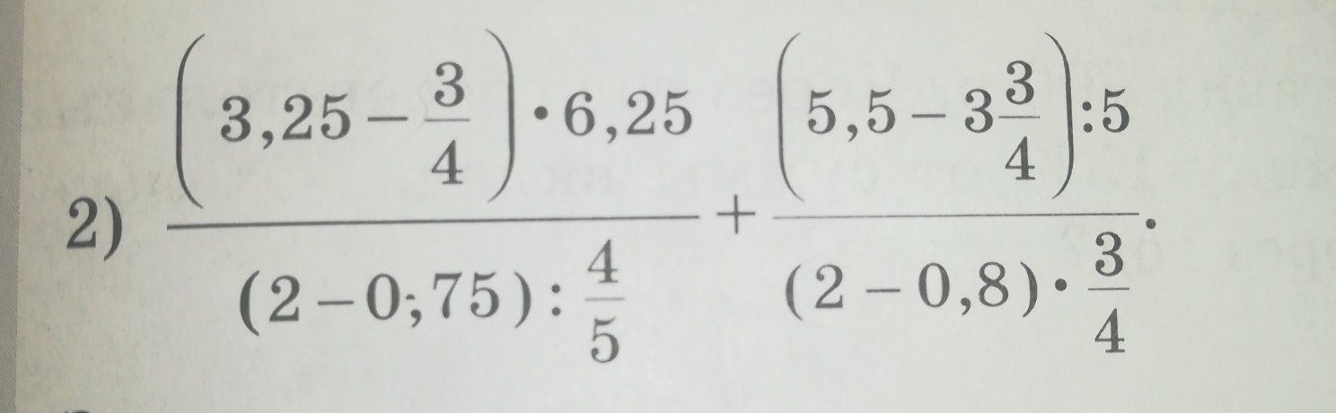
1) 3,25-3/4= 3,25-0,75= 2,5

2) 2,5*6,25= 15,625

3) 2-0,75= 1,25

4) 1,25:4/5= 1,25:0,8= 1,5625

5) 15,625:1,5625= 10

6) 5,5-15/4= 5,5-3,75= 1,75

7) 1,75:5= 0,35

8) 2-0,8= 1,2

9) 1,2*3/4= 1,2*0,75= 0,9

10) 0,35:0,9=35/100:9/10= 7/20*10/9= 7/2*1/9= 7/18

11) 10+7/18= 10 7/18

Ответ: 10 7/18

Ответ дал: poli474847
0
спасибо ♥️ огромное
Вас заинтересует