• Предмет: Математика
  • Автор: tt12016
  • Вопрос задан 8 лет назад

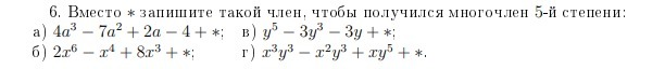
Люди сердечно прошу скажите ответы на столь сложное упражнение для моего плохо развитого мозга. Спасибо

Приложения:

Ответы

Ответ дал: Tulamat
0

Привет! Я в 10 классе. И я не могу ответить на твой вопрос. Я в 4 классе. Мы то ещё не проходили!

Вас заинтересует